【具体的設計例】電動シリンダ設計ガイダンス~FT Engineering監修:遊星ローラーねじ(PWG)設計ガイダンス
1. 基礎特性と採用メリット
PWG(Planetary Screw Drive)は、ねじ軸・遊星ローラー・ナットの間に「ギアの噛み合い」を持たず、転がり接触による摩擦駆動(フリクションギア)で推力を発生させる特殊なアクチュエータです。
• 高推力密度: ボールねじに比べ接点数が圧倒的に多いため、コンパクトながら非常に高い負荷容量を持ちます(静定格荷重 C0は最大許容面圧 4,200 N/mm² に基づく)。
• 微細ピッチ: 0.75mm~2.88mm等の微細ピッチが可能で、減速機なしで高い分解能と推力を得られます。
• バックラッシゼロ: ナット分割構造とシム調整により、予圧を与えて隙間ゼロで使用可能です。

2. 選定プロセスと計算手法
■Step 1: 負荷容量の確認と寿命計算
PWGは動定格荷重(C)と静定格荷重(C0 )を基準に選定しますが、特に静的な安全率に注意が必要です。
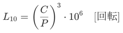
• 動定格荷重 (C): 信頼度90%で100万回転に達する荷重です。寿命計算式はボールねじと同様の以下を用います。

• 静的安全性: 最大軸方向荷重は、静定格荷重 C0に対して十分な余裕を持つ必要があります。
◦ 安全率 S0 =C0/Pmax
◦ 推奨:カタログ上の許容最大荷重を超えないこと。PWGの変形は接触部のヘルツ応力に依存します。
■Step 2: 座屈荷重の検証
押し当て動作などで軸に圧縮荷重がかかる場合、オイラーの式(弾性座屈)またはテトマイヤーの式(塑性座屈)を用いて、許容圧縮荷重を確認してください。
• 特に「軸径が細く、ストロークが長い」場合は、座屈が主な制約条件となります。
■Step 3: 危険速度の確認
高速回転時は、ねじ軸の固有振動数による共振(危険速度)を避ける必要があります。
• 許容回転数 n perm =0.8⋅n critを目安とし、カタログ記載の図表(限界回転数)を参照して軸径と支持スパンを決定してください。
■Step 4: 駆動トルクの計算
PWGは効率 η がボールねじよりも低くなる傾向があります(サイズにより50%~83%程度)。選定モーターのトルク計算には以下を使用します。

• F: 軸方向荷重 [N]
• P: リード [mm]
• η: 効率(カタログ値参照)
3. 構造設計の重要ポイント(詳細設計)
3.1. ラジアル荷重の完全排除【最重要】
PWGのナットは、アキシアル(軸)方向の荷重を受けるように設計されています。
• 禁止事項: ナットにラジアル荷重やモーメント荷重を直接かけないでください。内部のローラーのバランスが崩れ、寿命が著しく低下します。
• 対策: 必ずリニアガイド等の外部案内機構を設け、PWGは「推力のみ」を受け持つフローティング構造やリンク機構を採用してください。
3.2. 予圧とバックラッシ調整
PWGのナットは2分割されており、その間に調整用シムが予め調整済みです。
• 予圧の目的: バックラッシを排除し、軸方向剛性を高めるため。
• 設定: カタログの表にある「最小予圧~最大予圧」の範囲内で、ナット押え板の締め付けで予圧の微調整が可能です。


3.3. 潤滑設計
多数のローラーが接触するため、適切な潤滑が不可欠です。
• 初期潤滑: 出荷時は保存油のみの場合があります。使用前に必ず推奨グリース(表参照)を規定量封入してください。
• 再給脂: ナット中央から給脂できるよう、ハウジングに給脂穴を設ける必要があります。
◦ 注意: 給脂穴は、ナットの回り止めキー(plain key)のエリアには配置しないでください。

3.4. 軸端支持構造(Bearing Kits)
Schaeffler社より、PWG専用の軸受キットが供給されています。
• 固定側(Festlager-KIT): アキシアル荷重を受けるアンギュラ玉軸受等のセット。
• 支持側(Loslager-KIT): 熱膨張を逃がすための深溝玉軸受等のセット。
◦ 制限事項: キットを使用する場合、許容アキシアル荷重が制限される場合があります(例:PWG05の場合は 0.25⋅C まで等)。高荷重時はFTEへご相談ください。
• FT engineering社はその他に様々なねじサポート構造を提供可能です。
4. 制御・運用上の注意(エンジニア向けTIPS)
• セルフロックなし: PWGは原則としてセルフロック機能を持たないため、垂直軸で使用する場合は、電源遮断時の落下防止用ブレーキが必要です。
• スリップの考慮: 摩擦駆動であるため、理論上ごく微小なスリップ(滑り)が発生する可能性があります。位置決め精度を厳密に保証する場合は、モーターのエンコーダだけでなく、リニアスケール等によるフルクローズド制御を推奨します。
FTEからの提案:ユニット設計・製造
FTE Engineeringでは、上記ガイダンスに基づく「PWGアクチュエータユニット」の受託設計・製造を行っています。 「ラジアル荷重対策のガイド設計」や「最適な予圧管理」、「専用ハウジングの加工」など、PWGの性能を最大化する周辺設計を含めて一括で納品可能です。
設計の初期段階からご相談いただければ、最適なサイズ選定とリスク回避の設計提案を行います。


